| 计算公式索引 | 《医学统计学》 |
计算公式索引相对数 公式(3.1)
公式(3.2)
公式(3.3)
χ2检验 公式(3.4)理论频数
公式(3.5)χ2基本公式
公式(3.6)χ2自由度 ν=(R-1)(C-1) 公式(3.7)χ2校正的基本公式
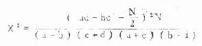
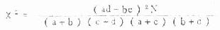
公式(3.8)四格表专用公式
公式(3.9)四格表校正公式
公式(3.10)2×k表专用公式
公式(3.11)
公式(3.12)R×C表通用公式 中位数 公式(4.1)当n为奇数时
公式(4.2)当n为偶数时
公式(4.3)频数表上计算
公式(4.4)
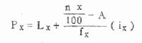
百分位数 公式(4.5)频数表上计算
算术均数 公式(4.6) χ=(1/n)∑X 公式(4.7) χ=C+(1/n)(Xi-C) 公式(4.8) χa=Xa-1+(1/n)(Xa-Xa-1) 公式(4.9) χ=(1/n)∑fX 几何均数 公式(4.10)
公式(4.11)
四分位数间距 公式(4.12) Q=P75-P25 均差 公式(4.13)
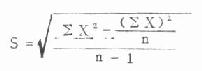
标准差 公式(4.14) 样本标准差
公式(4.15) 递推计算
公式(4.16) 直接计算
公式(4.17)
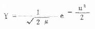
变异系数 公式(4.18) CV=S/X×100%, X>0 正态曲线 公式(5.1) 正态曲线方程
(5.2) 正态离差
(5.3) 标准正态曲线
(5.4) 正常值范围 X±uαs 标准误 (6.1) 理论标准误
(6.2) 样本均数的标准误
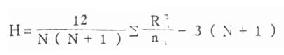
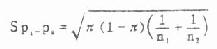
(6.3) 率的标准误
(6.4)
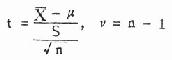
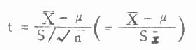
t分布 (6.5)
总体均数的估计 (6.6) 95%可信区间 X-t0.05,νSχ<μ<X+T0.05,ν Sχ (6.7) 99%可信区间 X-t0.01,ν Sχ<μ<X+T0.01,ν Sχ 总体率的估计 (6.8) 95%可信区间P-1.96Sp<π<P+1.96SP<p (6.9) 99%可信区间P-2.58Sp<π<P+2.58SP<p t检验 公式(6.5)样本均数与总体均数比较
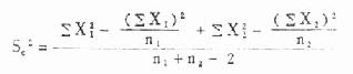
公式(7.1) 两样本均数比较的自由度 ν=n1+n2-2 公式(7.2) 合并方差
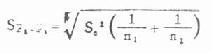
公式(7.3) 两均数相差的标准误
公式(7.4) t检验
u检验 公式(7.5)两均数相关的标准误
u检验
公式(7.6)两样本率比较
公式(7.7)
公式(6.4)
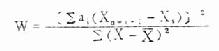
正态性检验 公式(7.8) w检验
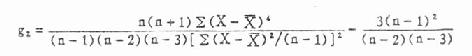
公式(7.9) 偏度系数
公式(7.10)
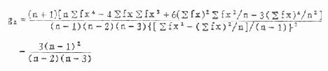
公式(7.11) 峰度系数
公式(7.12)
公式 (7.13) g1的抽样误差
公式 (7.14) g2的抽样误差
公式 (7.15) g1的u检验 u1=g1/Sg1 公式 (7.16) g2的u检验 u2=g2/Sg2 两方差齐性检验 公式(7.17) F=S12/S22,S1>S2 方差分析 公式(8.1) 总离均差平方和
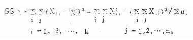
公式(8.2) 组间离均差平方和
公式(8.3) 组内离均差平方和
公式(8.4) 总变异自由度 ν总=N-1 公式(8.5)组间变异自由度 ν组间=k-1 公式(8.6) 组内变异自由度 ν组内=N-k 公式(8.7) F检验F=组间均方/组内均方 多个均数间两两比较 公式(8.8) 最小显著相差Dα=t,νS
公式(8.9) 两均数的标准误
公式(8.10) 平均例数
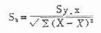
公式(8.11) 标准误
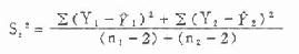
多个方差齐性检验 公式(8.12)
公式(8.13)
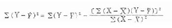
直线相关 公式(9.1) 直线相关系数
公式(9.2) 离均差积和
公式(9.3) 相关系数t检验
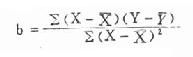
直线回归 公式(9.4) 直线回归方程 γ=a+bx 公式(9.5) 回归系数
公式(9.6) 截距 a=γ-bχ 公式(9.7) 回归系数t检验
公式(9.8) 回归系数的标准误
公式(9.9) 标准估计误差
公式(9.10) 估计误差平方和
公式(9.11) 两回归系数相关的t检验
公式(9.12) 两回归系数相差的标准误
公式(9.13) 两回归系数的合并方差
符号检验 公式(10.1) 成对资料比较
公式(10.2) 秩号的中位数
公式(10.3) 两组符号检验
公式(10.4) 两组符号检验
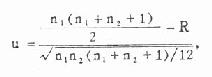
秩和检验 公式(10.6) 成对资料比较 公式(10.6) 两组资料求较小R'R'=n1(n1+n2+1)-R 公式(10.7)两组资料比较
公式(10.8) 多组完全随机设计资料的比较
公式(10.9) 多组随机单位组设计资料的比较
公式(10.10) 多组秩和的两两比较
秩相关系数 公式(10.11)Spearman秩相关系数
参照单位分析 公式(10.12) 平均R值
公式(10.13)R的标准误
公式(10.14) R的95%可信限
样本含量的估计 公式(11.1) 两个率比较所需例数
公式(11.2) 大样本成对资料比较均数所需例数 n=4S2/X2,1-β=0.5,α=0.05 公式(11.3) 小样本成对资料比较均数所需例数
|