六、逆矩阵

[逆矩阵及其性质] 若方阵A,B满足等式

AB=BA=I (I为单位矩阵)

则称AB的逆矩阵,或称BA的逆矩阵,记作

A= B=

这时A,B都称为可逆矩阵(或非奇异矩阵,或满秩矩阵).否则称为不可逆矩阵(或奇异矩阵,或降秩矩阵).

可逆矩阵具有性质:

A,B为可逆矩阵,则AB仍为可逆矩阵,且

(反序定律)

一般地,若A1 ,A2 ,…,As为可逆矩阵,则

矩阵A可逆的充分必要条件是:det A¹ 0.

若矩阵A可逆,则

det¹ 0 det=(det

=A, (a¹ 0)

=()t ,

矩阵A可逆的充分必要条件是:矩阵A的特征值全不为零.

[伴随矩阵与逆矩阵表达式] Aij为矩阵A=(aij)的第i行第j列元素aij的代数余子式,则矩阵

A*=

称为矩阵A的伴随矩阵.

A为非奇异矩阵,即det A¹ 0,A的逆矩阵表达式为

注意,A*的第i行第j列元素是A的第j行第i列元素的代数余子式.

[对角矩阵的逆矩阵] 对角矩阵

D=, di¹ 0 (i=1,2,...,n)

的逆矩阵为

D1=

显然对角矩阵的逆矩阵仍是对角矩阵.

[三角形矩阵的逆矩阵] 三角形矩阵

L=,

的逆矩阵为

=P=

式中

(i=1,2,...,n)

显然非奇异下(上)三角形矩阵的逆矩阵仍是下(上)三角形矩阵.

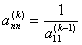
[正定矩阵的逆矩阵]

高斯-若当法

正定矩阵A=(aij)的逆A1=(bij)可由下列递推公式求出:

, ,

(k=1,2,...,n)

最后得到

式中n为该正定矩阵A的阶.

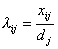
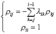
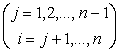
三角阵法 其步骤如下:

1 把正定矩阵A=(aij)表示为

A=L DL t

式中D为实的非奇异对角矩阵

D=

L 为实的非奇异下三角矩阵.

L =

L t L 的转置矩阵.di(i=1,2,...,n)l ij(i=2,...,n;j=1,…,n)由下面递推公式算出:

2)求出D的逆矩阵

=

3)求出L 的逆矩阵

式中

4)求出A的逆矩阵

=(L D=()t

=

式中

注意,这种方法的好处是避免了求平方根的运算.

[分块矩阵的逆矩阵] 设非奇异矩阵A的分块矩阵为

A=

式中B11,B22为方子阵,那末A的逆矩阵

A1=

由下面公式求出

[初等变换法求逆矩阵]

===B

对矩阵

作一系列行的初等变换,使虚线左边一块矩阵化为单位矩阵,而右边一块单位矩阵就变为A的逆矩阵B=A1,

[逆矩阵的近似求法] 为矩阵A的初始近似逆矩阵,可由下列迭代公式求出更精确的逆矩阵:

(n=0,1,2,...)

式中I为与A同阶的单位矩阵.

[计算机求逆程序的检验矩阵] 用下列n阶非奇异矩阵及其逆矩阵,来检验大矩阵求逆的计算程序.

A=

=