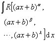
3.有理函数积分的变量替换公式表
表中R表示有理函数
|
积分类型 |
变量替换公式 |
|
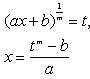
|
(n为整数)
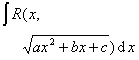
(m,n为整数) |
式中r为n,m,…的最小公倍数 |
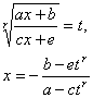
|
|
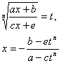
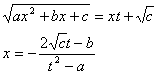
a>0时
c>0时 |
|
|
|
|
|
|
|
|
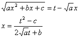
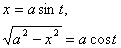
(或x=asht,
(或x=acost,
(或x=ach ) |
(或dx=achtdt)
(或dx=-asintdt)
(或dx=-ashtdt)
|
|
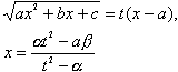
积分类型 |
变量替换公式 |
|
|
(式中 |
设m为
|
|
|
|
|
|
|
|
|
|