二、积分不等式

f(x),g(x)在区间[a,b]上可积,则有下列不等式:

(1) 若在区间[a,b]上,f(x)g(x),则

(2) ,则

mM

(3)

(4) 施瓦兹不等式

(5) 赫尔德不等式  设>1>1,,则

等号只当f(x)g(x)符号固定且为正常数时成立,当'=2时,就是施瓦兹不等式.

(6) 闵可夫斯基不等式 设r>0,则

(r1)

r<1, f(x)g(x)[a,b]上同号

等号只当f(x)=cg(x)(c为常数)时成立.

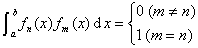
(7) 贝塞耳不等式 设n为正整数[a,b]上为一正规正交系:

(8) 哈代不等式 设f(x)在[0,∞)上可微且上升,f '(x)连续,f(0)=0p>1,则

等号只当f(x)≡0时成立.