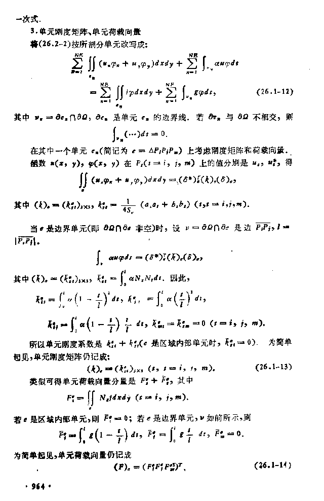
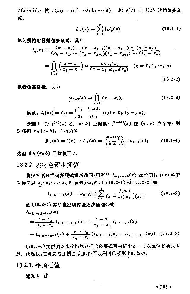
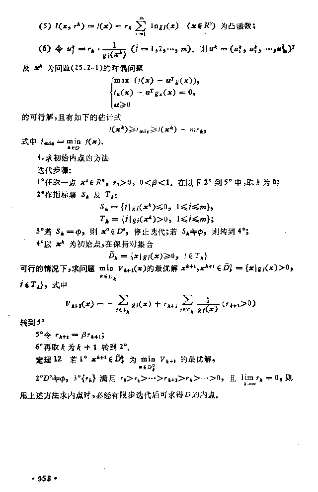
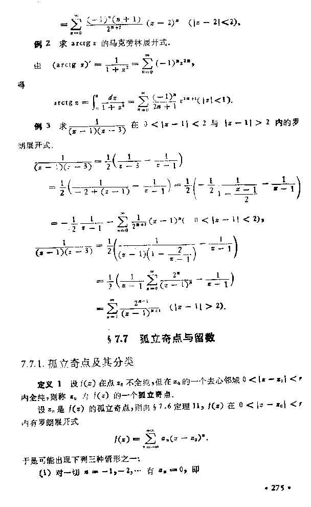
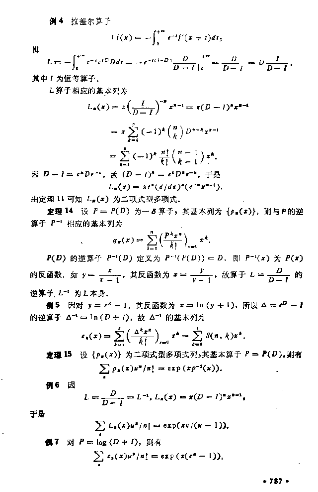
黄博士网: 教育网, AI数学手册计算器软件,电化学虚拟实验室,虚拟电化学工作站,电化学软件
首页
| 目录
| 世界
| 学科
| 文科
| 科学
| 数学
| 物理
| 化学
| 医学
| 计算
| 软件
| 帮助
| 打赏
+
+
+
=
《实用数学手册》
目录
1级目录 - 2级目录 - 3级目录 - 索引 - 在线阅读
-
封面页1
?
-
封面页2
?
-
书名页
?
-
内容简介
?
-
前言
?
-
3级目录
?
- 第二章 几何学 ?
目录页02
?
- 第三章 三角学
? 目录页02
?
- 第六章 微积分学
? 目录页05
?
目录页06
?
- 第九章 偏微分方程论
? 目录页09
?
目录页10
?
- 第十四章 纯粹数学选题
? 目录页15
?
目录页16
?
- 第十五章 向量分析.张量分析
? 目录页17
?
目录页18
?
- 第十七章 特殊函数
? 目录页20
?
目录页21
?
- 第十八章 数值分析
? 目录页22
?
目录页23
?
- 第二十章 图论
? 目录页25
?
- 第二十一章 随机过程论
? 目录页25
?
- 第二十二章 数理统计
? 目录页26
?
- 第二十三章 运筹学
? 目录页26
?
- 第二十五章 最优化方法
? 目录页28
?
- 第二十六章 有限元方法
? 目录页28
?
-
I 初等数学
?
-
第一章 代数学
?
目录页01
?
目录页02
?
§1.1 代数运算
1.1.1 数系
1.1.2 数的基本运算规律
1.1.3 指数
1.1.4 对数
1.1.5 复数
1.1.6 乘法与因式分解公式
1.1.7 分式
1.1.8 比例
1.1.9 根式
1.1.10 不等式
§1.2 数列
1.2.1 等差数列
1.2.2 等比数列
1.2.3 等比级数
1.2.4 常用的求和公式
§1.3 排列、组合与二项式定理
1.3.1 排列
1.3.2 组合
1.3.3 二项式定理
§1.4 一元多项式
1.4.1 一元多项式的运算
1.4.2 整除
1.4.3 最大公因式
1.4.4 因式分解定理
§1.5 二阶、三阶行列式与代数方程
1.5.1 二阶、三阶行列式
1.5.2 三元一次方程组的解法
1.5.3 一元二次方程
1.5.4 一元三次方程
1.5.5 一元四次方程
1.5.6 根与系数的关系
- §1.1 代数运算
- §1.2 数列
- §1.3 排列、组合与二项式定理
- §1.4 一元多项式
- §1.5 二阶、三阶行列式与代数方程
-
第二章 几何学
?
目录页02
?
- 2·1 平面几何学
- 2·2 立体几何学
- 2·3 证题法概述
-
第三章 三角学
?
目录页02
?
目录页03
?
-
II 基础数学
?
第四章 解析几何学
?
目录页03
?
目录页04
?
- 4·1 笛卡儿直角坐标系
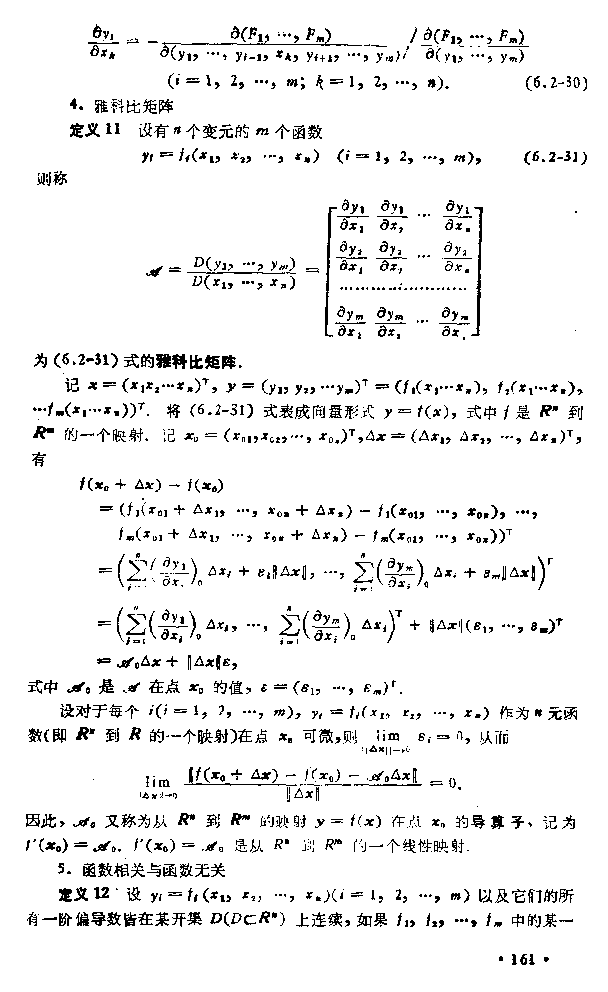
第五章 线性代数学
?
目录页04
?
目录页05
?
5·1 行列式
第六章 微积分学
?
目录页05
?
目录页06
?
目录页07
?
6·1 分析基础
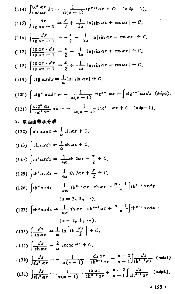
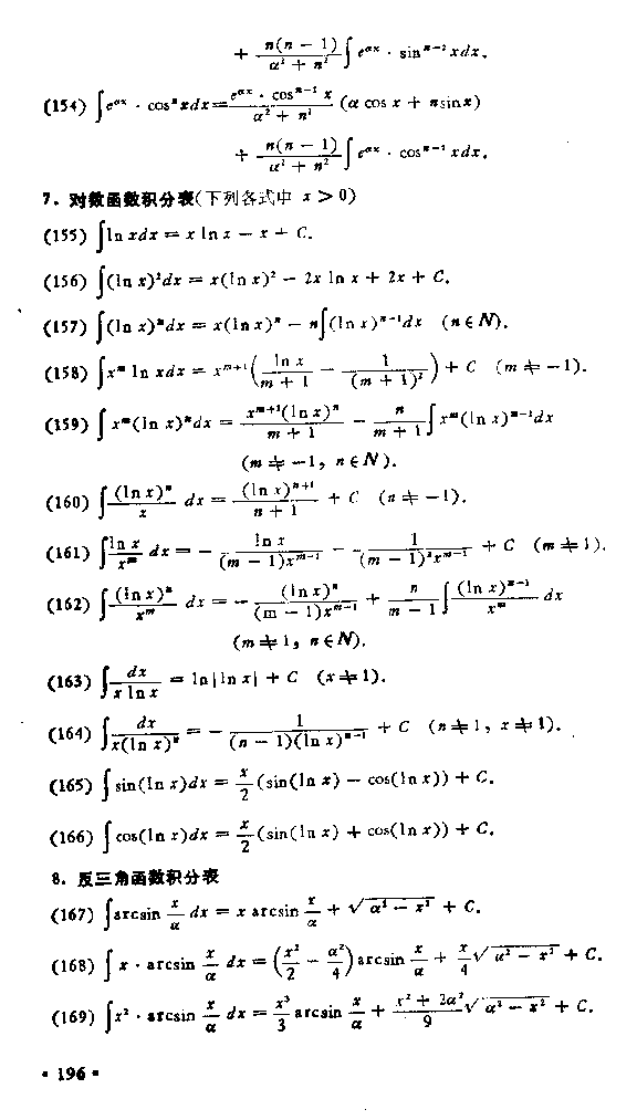
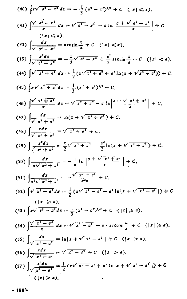
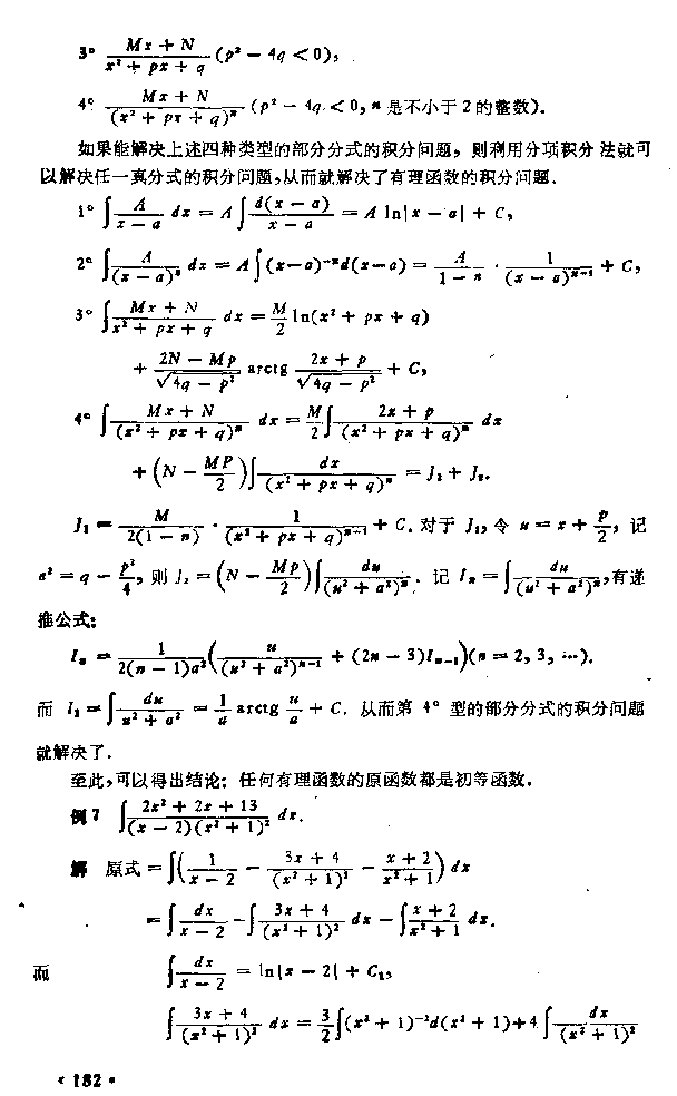
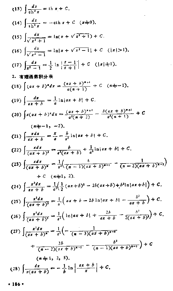
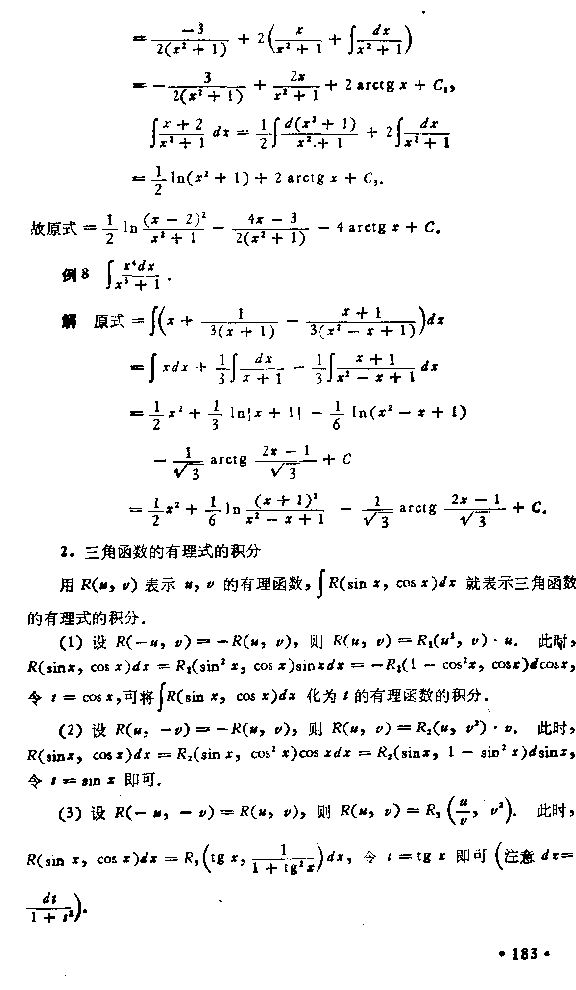
6.4 不定积分
6.5 定积分
第七章 复变函数论
?
目录页07
?
目录页08
?
7·1 复平面
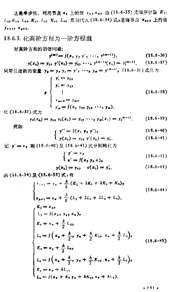
第八章 常微分方程论
?
目录页08
?
目录页09
?
8·1 一般概念
第九章 偏微分方程论
?
目录页09
?
目录页10
?
9·1 一般概念
第十章 微分几何学
?
目录页11
?
目录页12
?
10·1 平面曲线
第十一章 积分方程论
?
目录页12
?
目录页13
?
11·1 一般概念
第十二章 变分法
? 目录页13
?
12·1 一般概念
第十三章 概率论
?
目录页14
?
目录页15
?
13·1 基本概念
附录
第十四章 纯粹数学选题
? 目录页15
?
目录页16
?
14.1 集论
14·2 代数结构
14·3 一般拓扑学
14·4 勒贝格积分
14·5 泛函分析
14·6 微分流形
III 应用数学
?
第十五章 向量分析、张量分析
?
目录页17
?
目录页18
?
目录页19
?
15·1 向量代数
第十六章 积分变换
?
目录页19
?
目录页20
?
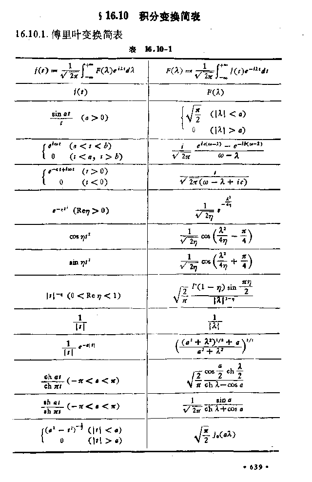
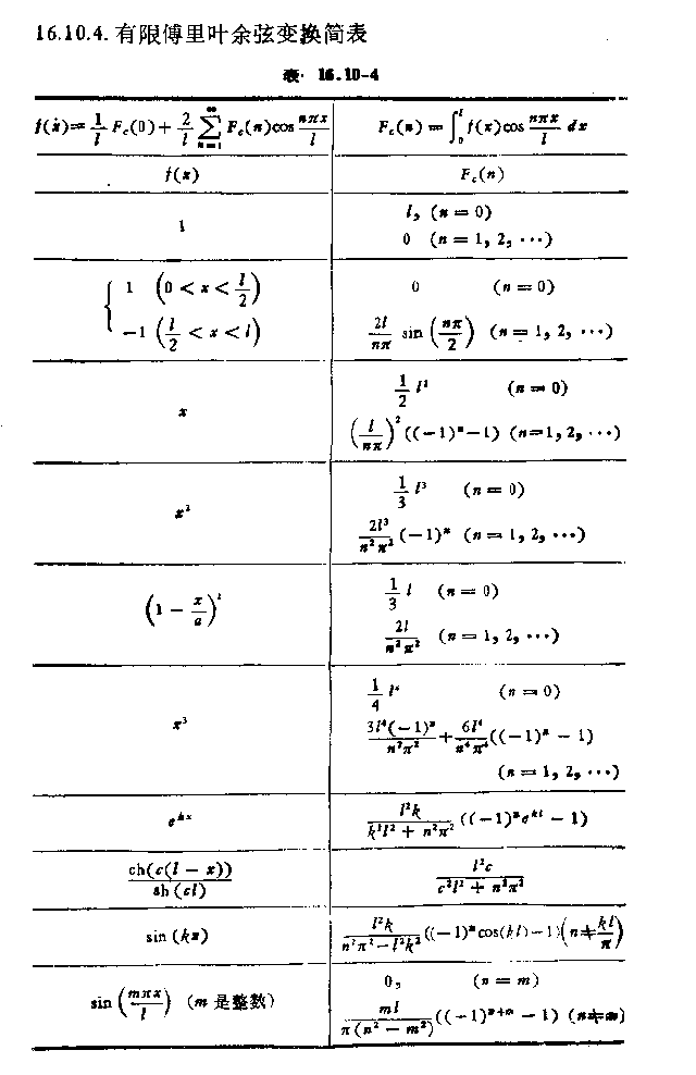
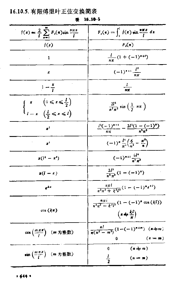
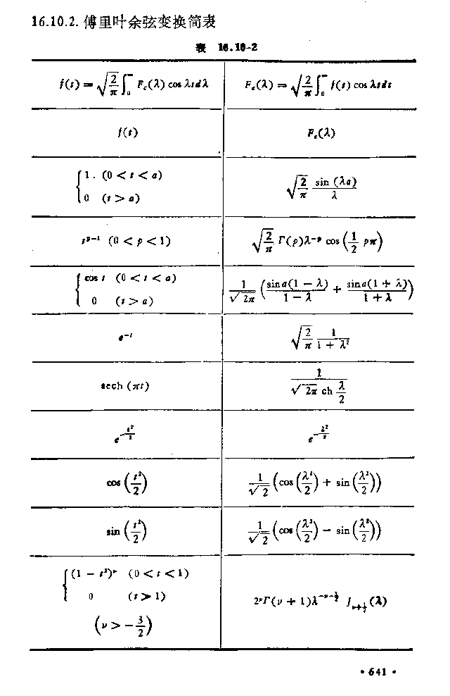
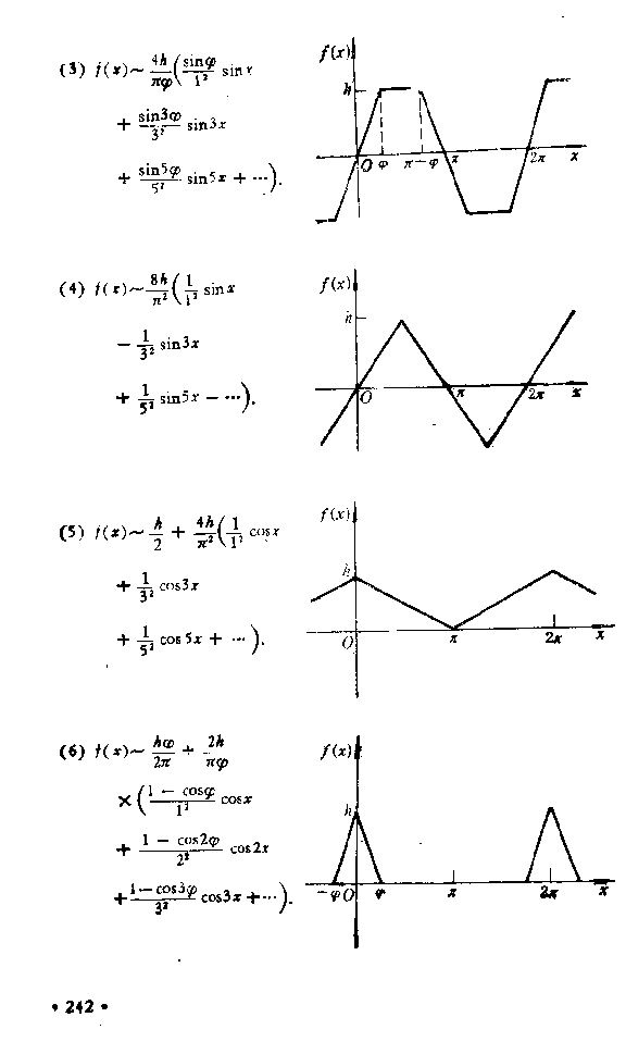
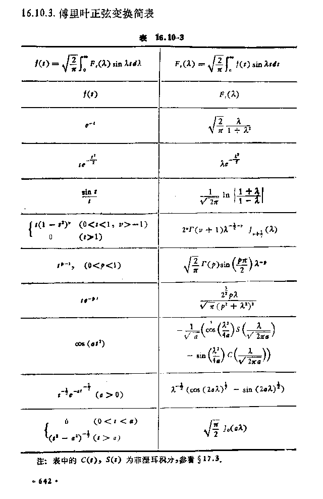
16·1 傅里叶积分与傅里叶变换
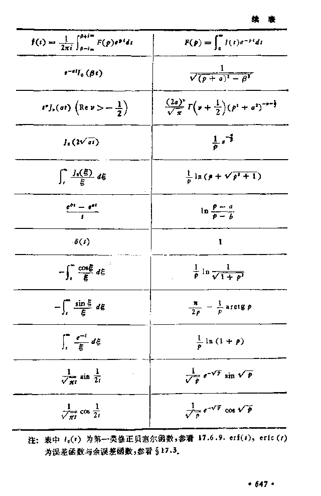
16·7 拉普拉斯变换
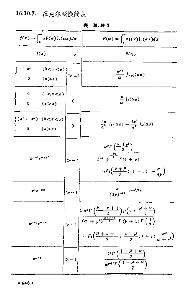
16·10 积分变换简表
第十七章 特殊函数
?
目录页20
?
目录页21
?
目录页22
?
17·1 Γ函数
17·2 B函数
17·3 误差函数.菲涅耳积分
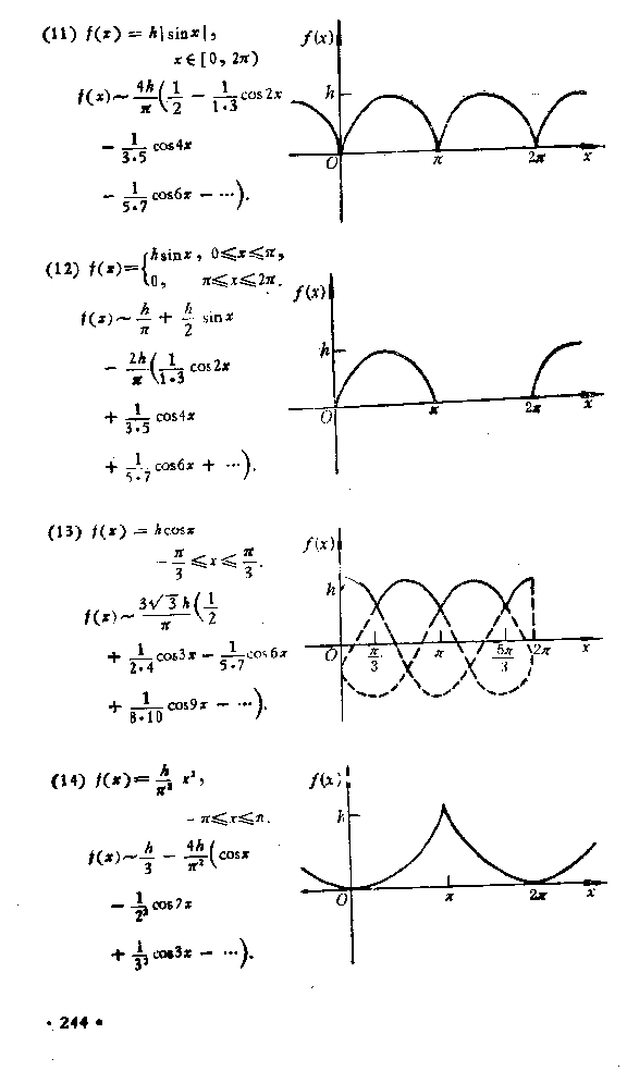
17·4 指数积分.对数积分.正弦积分.余弦积分
17·5 勒让德函数.勒让德多项式
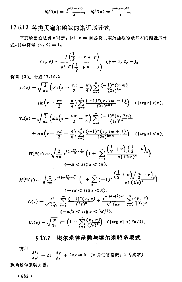
17·6 贝塞尔函数
17·7 埃尔米特函数与埃尔米特多项式
17·8 拉盖尔函数与拉盖尔多项式
17·9 切比雪夫多项式
17·10 超几何函数
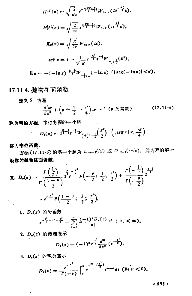
17·11 合流超几何函数
17·12 椭圆积分与椭圆函数
第十八章 数值分析
? 目录页22
?
目录页23
?
18·1 误差和有效数字
第十九章 组合论
? 目录页24
?
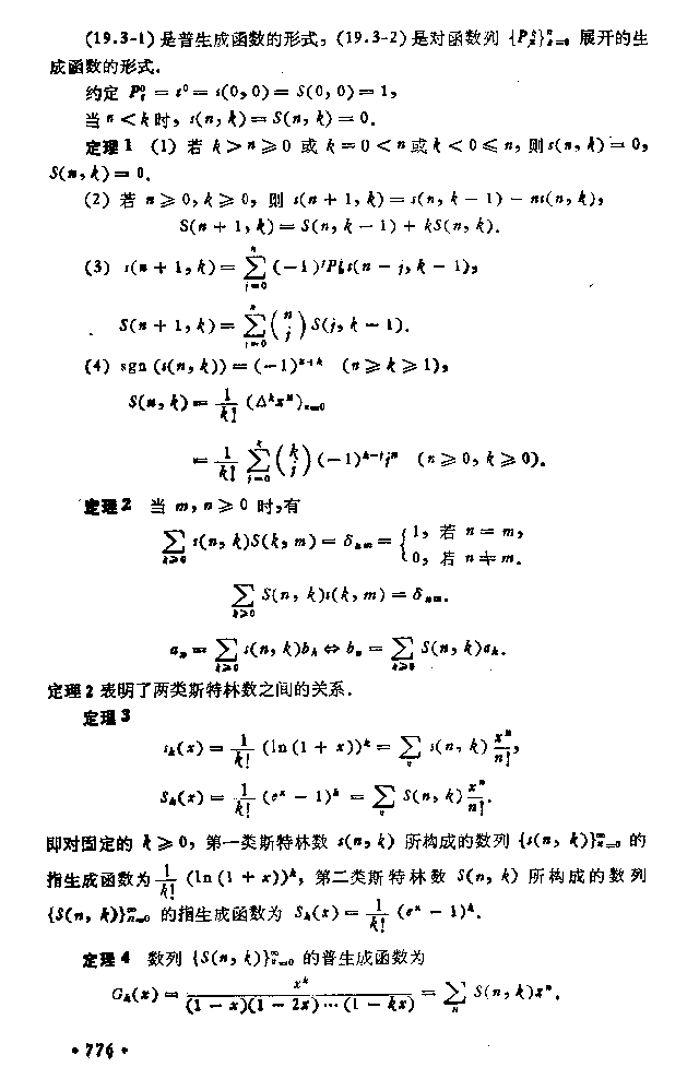
19·1 生成函数
第二十章 图论
? 目录页25
?
20·1 基本概念
第二十一章 随机过程论
? 目录页25
?
21·1 随机过程的概念
第二十二章 数理统计
? 目录页26
?
22·1 抽样分布
第二十三章 运筹学
? 目录页26
?
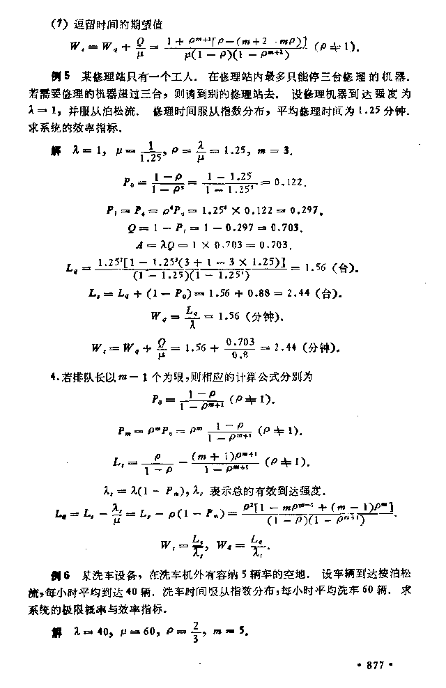
23·1 排队论
第二十四章 控制理论
? 目录页27
?
24·1 基本概念
第二十五章 最优化方法
? 目录页28
?
25·1 线性规划
-
第二十六章 有限元方法
? 目录页28
?
- 26·1 用有限元方法解题的过程
第二十七章 计算机基本知识
? 目录页29
? 目录页30
?
- 27·1 电子计算机原理
- 27·2 计算机语言
- 27·3 数据结构
- 27·4 编译原理
- 27·5 操作系统
- 27·6 数据库
- 27·7 软件工程学
第二十八章 信息论
? 目录页30
?
数学家译名表
?
索引
?
问题 ?
请发到 论坛
参阅
- 数学 - 数学符号 - 数学索引
- 手册 = 初中数学手册 + 高中数学手册 + 数学手册 + 实用数学手册
- 初等数学 = 小学数学 + 中学数学
( 初中数学 + 高中数学 )
- 高等数学 = 基础数学 ( 代数 + 几何 + 分析 ) + 应用数学
- 公式 - 定理 - 图
- 函数图 - 曲线图 - 平面图 - 立体图 - 动画 - 画画
- 书单 = 数学 + 物理 + 化学 +
计算 + 医学 + 英语 + 教材 - QQ群下载书
- 数学手册计算器 = 数学 +
手册 + 计算器 + 计算机代数系统
- 检测 - 例题 :